トーナメント情報
【りゅうたろうさん来店】WSOP祝勝9GAMEMIXトーナメント
| ステータス | 待機中 |
|---|---|
| 店舗名 | MUSASHI POKER ROOM |
| 公式ページ | /tourneys/210853 |
| 開始日時 | 2023/08/20 13:30〜 |
| ゲーム | 50,000点 / ミックス / ミックスゲーム / normal / Others |
| 参加費 | 10,000円 |
| 参加人数 | 0人 |
詳細情報
りゅうたろうさん WSOP祝勝トーナメント

【概要】
開始 13:30
レイトレジスト 16:30
9GameMix
・テキサスホールデム
・リミットホールデム
・オマハ
・オマハ Hi-Lo
・7カードスタッド
・ラズ
・7カードスタッドHi-Lo 8orBetter
・2-7トリプルドロー
・2-7シングルドロー
【エントリー費用】
エントリー 10,000円 50,000点
※マルチリエントリー
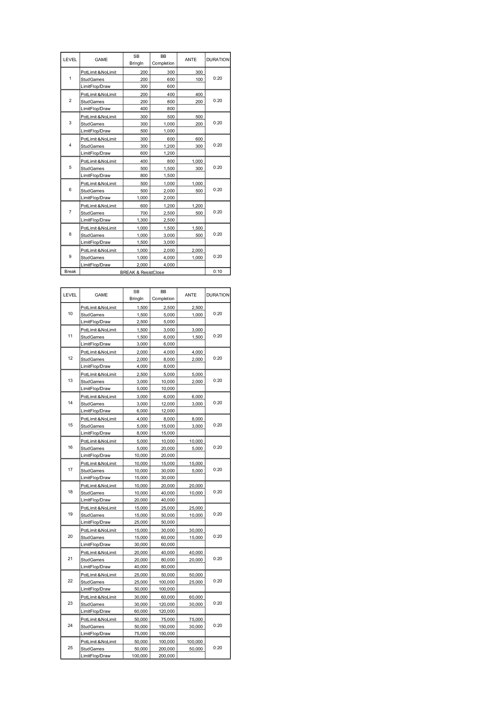
【ストラクチャー】

【プライズ】
後日発表
たくさんのご参加お待ちしております。
トーナメントに関して
・責任者の判断で当日ストラクチャが変更になる場合がございます。ご了承ください。
・当トーナメントのエントリー費にMUSASHIマイルはご利用いただけません。
・プライズはすべてスポンサー様からの提供となります。
ログイン
お知らせ
【広域イベント】
| JOPT 2026 Tokyo #01 | 2025/12/27 - 2026/1/4 |
| U-30 2026 WINTER | 2026/1/9 - 2026/1/12 |
【初めてのポーカー】
▶ テキサスホールデムの遊び方 ▶ オススメのアミューズメントカジノ 【おすすめトーナメント】
| 12/15(月) | 16:00 | 【JOPT】1000円で参加できる1卓限定 サテライト | EGP EBISU |
| 12/15(月) | 18:00 | 【♠SPADIE】『平日夜のトーナメント』 | アキバギルド |
| 12/15(月) | 18:00 | 【JOPT 15Ticket】メガサテライト | Casino Live Tokyo |
| 12/16(火) | 15:30 | 【♠︎SPADIE】Daily NLH 2K | 秋葉原カジノクエスト |
| 12/16(火) | 17:45 | 【JOPT 15チケット】メガサテライト | GoodGame Poker Live Shinjuku |
| 12/16(火) | 18:00 | 【JOPT 21チケット】サテライト 毎週火曜日開催✨ | GoodGame Poker Live SHIBUYA |